近期,榆林公司张盼盼副教授课题组完成的研究成果“覆膜方式对间作玉米光合物质生产及水分利用效率的影响”已在《中国农业科学》2025年第58卷第3期上正式发表。公司2025届硕士研究生王佳芯为第一作者,365上市集团官网张雄教授、张盼盼副教授为本文通讯作者,榆林公司为第一完成单位。王小林教授、2025届硕士研究生胡静一、2024届硕士研究生魏骞参与了该项工作。

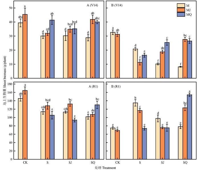
图1 不同覆膜方式对玉米地上生物量的影响
课题组于2022年在榆林市榆阳区和神木市的两个试验点同步开展试验,采用两因素完全区组设计,对照组为单作作物(玉米 M、大豆 S)和覆膜方式(裸地、膜际 J)相结合,试验组为间作作物(玉米 M、大豆 S)和覆膜方式(裸地、膜际 J、全膜 Q)相结合,共 13 组处理,研究不同覆膜方式下间作玉米生长、光合特性、水分利用效率及产量的变化。研究表明,与玉米单作相比,玉米膜际+大豆膜际间作模式在水地可改善玉米光合性能,增加玉米地上生物量,提高玉米产量,提升系统经济效益,并促进水分利用效率的提高;在旱地通过间作系统中的互补效应和资源优化分配,维持玉米产量,提高水分利用效率,但农资总投入的增加降低了其经济可行性。因此,在陕北旱作农业中,水地和适量灌溉的旱地条件下均推荐玉米膜际+大豆膜际间作种植模式,以确保在提高水分利用效率的同时,实现增产增效和生态农业可持续发展。

图2 不同覆膜方式对玉米叶片光合特性的影响

图3不同覆膜方式对玉米土壤耗水量和水分利用效率的影响
该研究得到了陕西省科技厅重点研发计划(2024NC-YBXM-011)、中央引导地方科技发展基金陕西省工程技术研究中心项目(2022ZY2-GCZX-05)、榆林市科技局科技计划(CXY-2022-69,2023-CXY-151)、陕西省教育厅重点实验室项目(23JS068)、第二批榆林“科技之光”中青年科技领军人才项目(2024-KJZG-ZQNLJ-008)、榆林公司研究生创新基金项目(2023YLYCX19,2024YLYCX19)等项目经费资助。