设为首页  加入收藏
高级检索
365上市集团官网
 
 

矿区实验室植物与环境互作小组系列文章揭示植物抗逆重要机制

2021年11月17日    严加坤、张宁宁/杨焱勋      阅读次数:[]

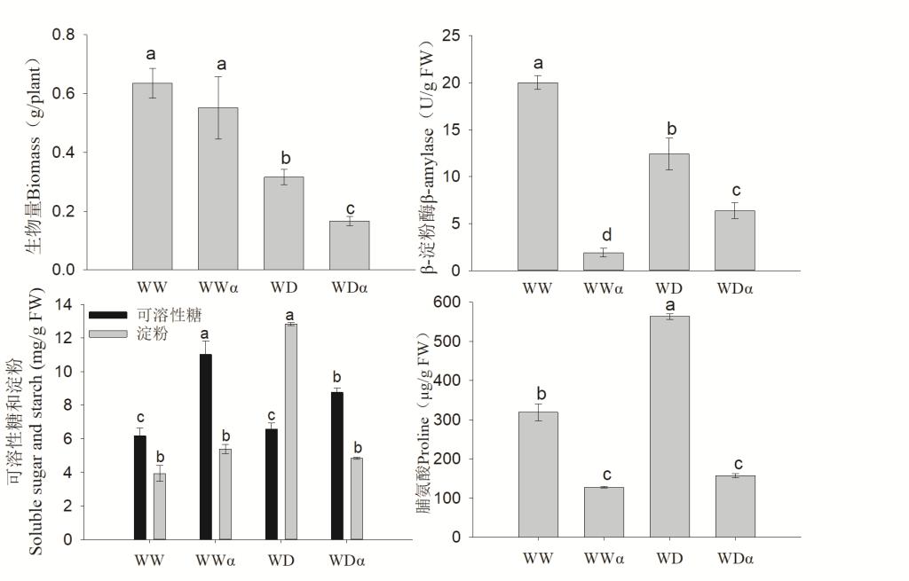
作为陕北区域重要的经济粮食作物,谷子在当地种植业结构调整和乡村振兴、产业振兴方面起到重要作用。然而,由于降雨分布不均,缺水成为限制谷子生产的重要外因,限制了陕北谷子的产业发展。品种更替带来作物抗逆性的增加成为应对环境胁迫的重要措施,谷子中是否存在品种更替带来抗逆性改善及潜在的生理机制尚不清楚。利用1960s-2010s在陕北榆林地区广泛种植的6个谷子品种通过两年大田研究发现,随年代更替,谷子品种产量呈现明显增加趋势并且谷子品种更替过程中主要通过株高和穗重的改良来增加单位面积产量。通过盆栽实验发现,陕北谷子品种更替过程中水分利用效率呈现显著增加的趋势,并且发现干旱胁迫诱导谷子β淀粉酶基因表达和β淀粉酶活性升高从而水解淀粉形成可溶性糖,高可溶性糖含量对谷子提高抗旱性起重要作用。


外源α⁃环糊精对干旱胁迫下谷子生物量、β⁃淀粉酶活性、可溶性糖和淀粉及脯氨酸含量的影响


针对毛乌素沙区大规模造地的现状,进行了新构土体生产力提升及生物碳添加实验。结果表明,一次性添加生物碳及砒砂岩能够在作物换茬后持续改善土壤环境提高作物产量。微生物菌肥添加实验表明,复配土中添加微生物菌肥,能够有效的提高土壤酶活性和有机酸含量进而提高土壤养分有效性。

上述成果得到了国家自然科学基金委、陕西省科技厅、榆林市科技局、榆林市科学技术协会及自然资源部退化及未利用土地整治工程重点实验室的资助,相关成果分别在生态学报、Plant Physiology and Biochemistry(中科院2区,IF=4.27)、应用生态学报和Agronomy(两篇,中科院3区,IF=3.417)发表。


上一条:Genetic Variations and mRNA Expression of Goat DNAH1 and Their Associations with Litter Size

下一条:The chloroplast genome of Amygdalus L.(Rosaceae) reveals the phylogenetic relationship and divergence time



【关闭】

 

版权所有:365英国上市公司(集团)官方网站-Official Website  地址:陕西省榆林市崇文路51号

邮编:719000          电话:0912-3687210